Molecular dynamics and coarse-grained simulations facilitate the design of new eco-friendly cosmetic formulations
L’Oreal and Schrödinger scientists gain a deeper understanding of the shearing behavior differences between synthetic and polysaccharide polymers on biomimetic surfaces.
Executive Summary
- Gained novel insights into the aggregation behavior of shampoo formulations with a model hair surface
- Demonstrated the impact of polymer topology and related the observed polymer interactions to experimental observables
- Established a framework for studying complex formulations in contact with biomimetic surfaces using molecular dynamics simulations
- Accelerated rational design of eco-friendly cosmetic formulations

Challenges
Changes in consumer behaviors are driving increased demand for green and eco-friendly products in the cosmetic industry. Substitution of natural, bio-based polymers for petrochemicalderived ingredients in consumer formulations has become an active area of research. However, the complexity of these formulations, typically mixtures of surfactants, salt and polymers, makes it non-trivial to replace an ingredient and anticipate its effect on product properties.
Effective and efficient reformulation that maintains comparable performance to existing products requires a deep understanding of the differences in behavior between polymers, which can be time and resource intensive using the traditional experimental approach.
Approach
Scientists from L’Oreal and Schrödinger explored the behavioral differences of synthetic polymers and eco-friendly polymers in hair formulations by building realistic models of complex formulation and hair surfaces. All models and simulations were performed using the Schrödinger Materials Science Suite and Desmond for molecular dynamics (MD) according to the following procedure:

Results
This work demonstrates an approach for studying the interaction of complex polymer/surfactant formulations with biological substrates via MD simulations. Detailed, experiment-inspired allatom molecular models were used in order to parameterize coarse-grained simulations capable of portraying aggregation and adsorption behavior. Continued progress in this area will establish particle-based simulation as a viable technique for designing new eco-friendly formulations.
Summary
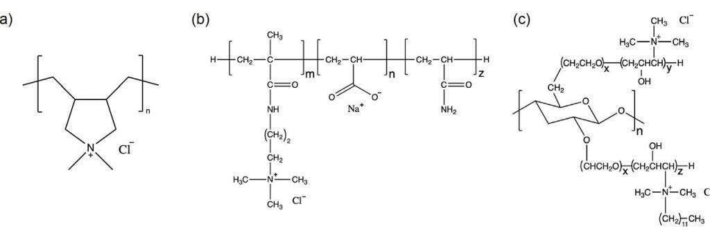
- Distinct behaviors are observed among polymers (M100, M2003 and PS) as a result of their chemical architecture. The quaternary ammonium groups common to all three polymers play an important role in bulk aggregation, as well as in interactions with surfactant-coated healthy hair surfaces
- In M2003, the hydrophilic block does not incorporate into aggregates, but it does adhere to the damaged surface, a quality not shown by the other polymers
- In PS, the highly branched carbohydrate backbone offers a favorable environment for surfactants, and may help increase surfactant solubility. The 12-carbon alkane chains branching off each monomer makes it the only polymer that comes in direct contact with the healthy hair surface
- The data suggests that the length of the polymer chain can play a role in lubrication properties
What’s next
The exploratory measurements in this study demonstrate that it is possible to quantify frictional coefficients of hair against complex formulations. Large scale, systematic studies that allow for more detailed comparisons between polymers of interest are a clear next step in advancing this area of study. In future work, we intend to examine friction as a function of variations to formulation compositions, polymer chain lengths, model hair surface topology, shear rate as well as distance between hair surfaces.

References
-
Advancing Drug Discovery Through Enhanced Free Energy Calculations.
Abel et al. Acc. Chem. Res. 2017, 50, 7, 1625–1632.
-
Inhibition of CDC7 with SGR-2921 in AML models results in enhanced DNA damage and anti-leukemic activity as monotherapy and in combination with standard of care agents.
Tsvetkov et al. ASH 2022.
-
Discovery of novel CDC7 inhibitors that disrupt cell cycle dynamics and show anti-proliferative effects in cancer cells.
Tsvetkov et al. AACR 2021.
-
Huang X, Mondal S, Ghanakota P, Boyles N, Frye L, Gerasyuto A, Greenwood JR, Tang H, Levinson AM. Cyclic Compounds and Methods of Using Same.
U.S. Patent No. WO/2021/113492. 2021.
-
Mondal S, Tang H,Huang X, Levinson AM, Frye L, Bhat S, Bos PH, Konst Z, Ghanakota P, Greenwood JR. Cyclic Compounds and Methods of Using Same.
U.S. Patent No. WO/2022/197898. 2022.
Software and services to meet your organizational needs
Industry-Leading Software Platform
Deploy digital drug discovery workflows using a comprehensive and user-friendly platform for molecular modeling, design, and collaboration.
Research Enablement Services
Leverage Schrödinger’s team of expert computational scientists to advance your projects through key stages in the drug discovery process.
Scientific and Technical Support
Access expert support, educational materials, and training resources designed for both novice and experienced users.
